企業博客
更多>>康比電子教大家如何計算要應用的彈性剛度常數
來源:http://m.nhthj.cn 作者:kbdzkj 2018年05月14
石英晶振使用在各行各業的領域當中,要成就一個合格的成品有多種步驟,今天康比電子給大家論述的是有關的彈性剛度常數
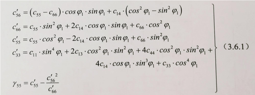
以下計算要應用的彈性剛度常數如下:
.png)
貝赫曼( R·Bechmann)給出開路、短路彈性剛度常數如下
CijD (開路) CijE (短路)
C55=57.98×109N/m2 C55=57.93×109N/m2
C14=-18.09×109N/m2 C1=-17.91×109N/m
C66=40.626×109N/m2 C66=39.88×109N/m2
C11=87.468×109N/m2 C11=86.74×109N/m2
C12=6.244×109N/m2 C12=6.99×109N/m2
C13=11.91×109N/m2 C13=11.91×109N/m2
C33=107.2×109N/m2 C33=107.1×109N/m2
C44=C55 C14=C65
說明:
(1) 若測量電路的電阻遠小于石英晶振片的電阻,則可以近似地認為外電路處于短路狀態,這時電極面上沒有電荷積累。所以石英片內的電場強度E=0(或常數),這樣的電學邊界條件稱為短路條件,在該條件測得的彈性常數叫短路彈性常數如cijE或sijE
(2) 若測量電路的電阻遠大貼片晶振晶片的電阻,則可以近似地認為外電路處于開路狀態,這時電極面上的自由電荷保持不變即電位移D=0(或常數),這樣的電學邊界條件稱為開路條件,在該條件測得的彈性常數叫開路彈性常數如CijD或SijD
三、切角的選擇
長條片切角是根據工作溫度范圍、溫度頻差及其頻率來選取的,具體的可參照表3.6.1初步確定設計十中心角。切角誤差根據表3.2.2選取。
表3.6.1各頻段石英晶振晶片切角及換算成所需角度表
.png)

以下計算要應用的彈性剛度常數如下:
.png)
貝赫曼( R·Bechmann)給出開路、短路彈性剛度常數如下
CijD (開路) CijE (短路)
C55=57.98×109N/m2 C55=57.93×109N/m2
C14=-18.09×109N/m2 C1=-17.91×109N/m
C66=40.626×109N/m2 C66=39.88×109N/m2
C11=87.468×109N/m2 C11=86.74×109N/m2
C12=6.244×109N/m2 C12=6.99×109N/m2
C13=11.91×109N/m2 C13=11.91×109N/m2
C33=107.2×109N/m2 C33=107.1×109N/m2
C44=C55 C14=C65
說明:
(1) 若測量電路的電阻遠小于石英晶振片的電阻,則可以近似地認為外電路處于短路狀態,這時電極面上沒有電荷積累。所以石英片內的電場強度E=0(或常數),這樣的電學邊界條件稱為短路條件,在該條件測得的彈性常數叫短路彈性常數如cijE或sijE
(2) 若測量電路的電阻遠大貼片晶振晶片的電阻,則可以近似地認為外電路處于開路狀態,這時電極面上的自由電荷保持不變即電位移D=0(或常數),這樣的電學邊界條件稱為開路條件,在該條件測得的彈性常數叫開路彈性常數如CijD或SijD
三、切角的選擇
長條片切角是根據工作溫度范圍、溫度頻差及其頻率來選取的,具體的可參照表3.6.1初步確定設計十中心角。切角誤差根據表3.2.2選取。
表3.6.1各頻段石英晶振晶片切角及換算成所需角度表
.png)

正在載入評論數據...
相關資訊
- [2024-02-18]Greenray晶體振蕩器專為國防和航...
- [2024-01-20]HELE加高產品和技術及熱門應用
- [2024-01-20]HELE加高一個至關重要的組件晶體...
- [2023-12-28]Suntsu晶振最新的射頻濾波器突破...
- [2023-12-28]Qantek提供各種高可靠性微處理器...
- [2023-10-11]日本納卡石英晶體的低老化領先同...
- [2023-09-25]遙遙領先H.ELE開啟汽車創新
- [2023-09-23]瑞薩電子MCU和MPU產品領先同行




