企業博客
更多>>晶振電阻的標稱值用于計算CL
來源:http://m.nhthj.cn 作者:康比電子 2019年04月15
負載是指連接在電路中的電源兩端的電子元件,電路中不應沒有負載而直接把電源兩極相連,此連接稱為短路.常用的負載有電阻,引擎和燈泡等可消耗功率的元件.不消耗功率的元件,如電容,也可接上去,但此情況為斷路.如晶振元件中,負載電容是重要的一個參數,負載電容直接影響著產品是否能正常操作使用,因此負載電容在晶振中是很重要的,在選擇購買和使用時一定要確認好負載電容的參數.
在試圖計算皮爾斯震蕩器電路的負載電容時,必須考慮至少三個雜散電容.
1.放大器輸入端對地的附加電容.其來源可能是放大器本身和對地跟蹤電容.由于電容與重心平行,我們可以簡單地將其吸收到重心的定義中.(即CG是電容對地電容加上放大器這一側的任何附加對地電容.)
2.放大器輸出端對地的附加電容.其來源可能是放大器本身和對地跟蹤電容.由于電容與光盤平行,我們可以簡單地將電容吸收到光盤的定義中.(也就是說,CD是電容對地電容加上放大器這一側的任何附加對地電容.)
3.寄生電容銫分流晶體,如圖2所示.
如上所述,重新定義重心和重心后,[2]得出振蕩的條件之一是 在哪里
是石英晶振和電容Cs的并聯組合的阻抗,R0是放大器的輸出電阻.
因此,在這種情況下,負載電容是晶體分流的寄生電容電容加上晶體每側兩個電容的串聯電容接地.
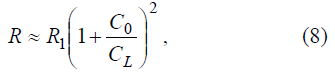
可以看出,晶體電阻R作為負載電容C1的函數近似由下式給出(假設C1不太小)
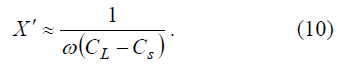
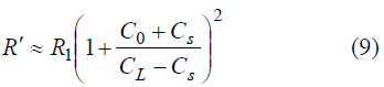
其中R1是晶體[1]的運動阻力.接下來(前提是CL–Cs不要太小)
和
根據這些結果,方程(6)給出了氯的下列方程
其中R'由等式(9)近似.請注意,氯的方程式實際上比最初看起來要復雜一點,因為R'取決于氯.
可以看出,CL隨著R1的增加而減小,因此通過等式(3),工作頻率隨著晶體電阻的增加而增加.因此,負載電容確實依賴于晶體本身.但是正如我們之前提到的,晶體電阻的變化以及由此產生的對這種變化的靈敏度通常足夠低,因此可以忽略這種依賴性.(在這種情況下,晶體電阻的標稱值用于計算CL.)
然而,有時阻力效應是不可忽視的.調諧兩個晶體,使得兩個晶體在給定負載電容C1下具有完全相同的頻率,如果它們的電阻不同,可以在同一有源晶振振蕩器中以不同的頻率振蕩.這一微小差異導致觀察到的系統頻率變化高于晶體頻率校準誤差和板間元件變化引起的系統頻率變化.
注意,在零晶體電阻(或至少與放大器的輸出電阻ro相比可以忽略不計)的情況下,等式(11)給出
因此,在這種情況下,負載電容是晶體分流的寄生電容電容加上晶體每側兩個電容的串聯電容接地.
5.測量CL
雖然原則上可以從電路設計中計算氯含量,但更簡單的方法是測量氯含量.這也更可靠,因為它不依賴振蕩器電路模型,考慮了與布局相關的雜散(這可能難以估計),并且考慮了晶體電阻的影響.這里有兩種測量化學發光的方法.
5.1方法1
這種方法需要阻抗分析儀,但不需要了解石英晶體諧振器參數,并且與晶體模型無關.
1.得到一個與將要訂購的晶體相似的晶體,即具有相似的頻率和電阻.
2.將該晶體放入振蕩器中,測量操作頻率F1.將晶體放入電路時,小心不要損壞它或做任何會引起不適當頻率偏移的事情.(如果焊接到位,讓它冷卻到室溫.)避免焊接的一個好技術是簡單地使用例如鉛筆的橡皮擦端將晶體壓到電路板的焊盤上,并觀察振蕩頻率.小心水晶與電路板完全接觸.在晶體不與電路板完全接觸的情況下,系統仍能以稍高的頻率振蕩.
3.使用阻抗分析儀測量晶振在步驟2中確定的頻率f1下的電抗.
4.使用等式(1)和f1(ω=2πf1)和f1處的X的測量值計算CL. 5.2方法2
該方法依賴于四參數晶體模型,需要了解這些參數(通過您自己的測量或由晶體制造商提供).
1.得到一個與將要訂購的晶體相似的晶體,即具有相似的頻率和電阻.
2.表征這種晶體.特別是測量其串聯頻率Fs,運動電容C1和靜態電容C0.
3.將晶體放入振蕩器中,測量操作頻率F1(如方法1步驟2所示).)
4.使用等式(3)和f1,Fs,C1和C0的測量值計算CL.
建議至少遵循3個晶體的任一程序.如果操作得當,這種技術通常會給出與大約0.1pF一致的CL值.通過對多個電路板重復該程序,可以進一步確定最終結果的可信度,從而估算電路板間的氯含量變化.
注意,在上面,f1不必精確地是期望的振蕩頻率f.也就是說,CL的計算值不是振蕩頻率的強函數,因為通常只有晶體強烈地依賴于頻率.如果由于某種原因,石英晶體振蕩器確實有很強的頻率相關元件,那么使用這種方法將非常困難.
6.我真的需要為CL指定一個值嗎?
至少有三種情況下不需要氯的規格:
1.你打算在它們的串聯諧振頻率下操作晶體.
2.您可以容忍較大的頻率誤差(大約0.1%或更多).
3.電路的負載電容足夠接近標準值,因此頻率差是可以容忍的.這個差值可以用公式(4)來計算.
如果您的應用不滿足上述三個條件之一,您應該強烈考慮估算振蕩器的負載電容,并在指定晶振時使用該值.
在試圖計算皮爾斯震蕩器電路的負載電容時,必須考慮至少三個雜散電容.
1.放大器輸入端對地的附加電容.其來源可能是放大器本身和對地跟蹤電容.由于電容與重心平行,我們可以簡單地將其吸收到重心的定義中.(即CG是電容對地電容加上放大器這一側的任何附加對地電容.)
2.放大器輸出端對地的附加電容.其來源可能是放大器本身和對地跟蹤電容.由于電容與光盤平行,我們可以簡單地將電容吸收到光盤的定義中.(也就是說,CD是電容對地電容加上放大器這一側的任何附加對地電容.)
3.寄生電容銫分流晶體,如圖2所示.
如上所述,重新定義重心和重心后,[2]得出振蕩的條件之一是 在哪里

因此,在這種情況下,負載電容是晶體分流的寄生電容電容加上晶體每側兩個電容的串聯電容接地.
可以看出,晶體電阻R作為負載電容C1的函數近似由下式給出(假設C1不太小)



可以看出,CL隨著R1的增加而減小,因此通過等式(3),工作頻率隨著晶體電阻的增加而增加.因此,負載電容確實依賴于晶體本身.但是正如我們之前提到的,晶體電阻的變化以及由此產生的對這種變化的靈敏度通常足夠低,因此可以忽略這種依賴性.(在這種情況下,晶體電阻的標稱值用于計算CL.)
然而,有時阻力效應是不可忽視的.調諧兩個晶體,使得兩個晶體在給定負載電容C1下具有完全相同的頻率,如果它們的電阻不同,可以在同一有源晶振振蕩器中以不同的頻率振蕩.這一微小差異導致觀察到的系統頻率變化高于晶體頻率校準誤差和板間元件變化引起的系統頻率變化.
注意,在零晶體電阻(或至少與放大器的輸出電阻ro相比可以忽略不計)的情況下,等式(11)給出

5.測量CL
雖然原則上可以從電路設計中計算氯含量,但更簡單的方法是測量氯含量.這也更可靠,因為它不依賴振蕩器電路模型,考慮了與布局相關的雜散(這可能難以估計),并且考慮了晶體電阻的影響.這里有兩種測量化學發光的方法.
5.1方法1
這種方法需要阻抗分析儀,但不需要了解石英晶體諧振器參數,并且與晶體模型無關.
1.得到一個與將要訂購的晶體相似的晶體,即具有相似的頻率和電阻.
2.將該晶體放入振蕩器中,測量操作頻率F1.將晶體放入電路時,小心不要損壞它或做任何會引起不適當頻率偏移的事情.(如果焊接到位,讓它冷卻到室溫.)避免焊接的一個好技術是簡單地使用例如鉛筆的橡皮擦端將晶體壓到電路板的焊盤上,并觀察振蕩頻率.小心水晶與電路板完全接觸.在晶體不與電路板完全接觸的情況下,系統仍能以稍高的頻率振蕩.
3.使用阻抗分析儀測量晶振在步驟2中確定的頻率f1下的電抗.
4.使用等式(1)和f1(ω=2πf1)和f1處的X的測量值計算CL. 5.2方法2
該方法依賴于四參數晶體模型,需要了解這些參數(通過您自己的測量或由晶體制造商提供).
1.得到一個與將要訂購的晶體相似的晶體,即具有相似的頻率和電阻.
2.表征這種晶體.特別是測量其串聯頻率Fs,運動電容C1和靜態電容C0.
3.將晶體放入振蕩器中,測量操作頻率F1(如方法1步驟2所示).)
4.使用等式(3)和f1,Fs,C1和C0的測量值計算CL.
建議至少遵循3個晶體的任一程序.如果操作得當,這種技術通常會給出與大約0.1pF一致的CL值.通過對多個電路板重復該程序,可以進一步確定最終結果的可信度,從而估算電路板間的氯含量變化.
注意,在上面,f1不必精確地是期望的振蕩頻率f.也就是說,CL的計算值不是振蕩頻率的強函數,因為通常只有晶體強烈地依賴于頻率.如果由于某種原因,石英晶體振蕩器確實有很強的頻率相關元件,那么使用這種方法將非常困難.
6.我真的需要為CL指定一個值嗎?
至少有三種情況下不需要氯的規格:
1.你打算在它們的串聯諧振頻率下操作晶體.
2.您可以容忍較大的頻率誤差(大約0.1%或更多).
3.電路的負載電容足夠接近標準值,因此頻率差是可以容忍的.這個差值可以用公式(4)來計算.
如果您的應用不滿足上述三個條件之一,您應該強烈考慮估算振蕩器的負載電容,并在指定晶振時使用該值.
正在載入評論數據...
相關資訊
- [2024-02-18]Greenray晶體振蕩器專為國防和航...
- [2024-01-20]HELE加高產品和技術及熱門應用
- [2024-01-20]HELE加高一個至關重要的組件晶體...
- [2023-12-28]Suntsu晶振最新的射頻濾波器突破...
- [2023-12-28]Qantek提供各種高可靠性微處理器...
- [2023-10-11]日本納卡石英晶體的低老化領先同...
- [2023-09-25]遙遙領先H.ELE開啟汽車創新
- [2023-09-23]瑞薩電子MCU和MPU產品領先同行







